Най - вълнуващия въпрос зимно време.
N_Marinov - напреднал
Отново с моя проблем.
Някой имали достъп до интерфейс елилел или инвенсис със софтуер PARAM МANAGER, трябва да ми се нулират протекшън параметрите за показване от контролера (мануела т.6,4,1) от 0768 на 0003.

понеже актуалното състояние на параметрите е следното
Прикачен файл:
ECH200_Par_H.jpg
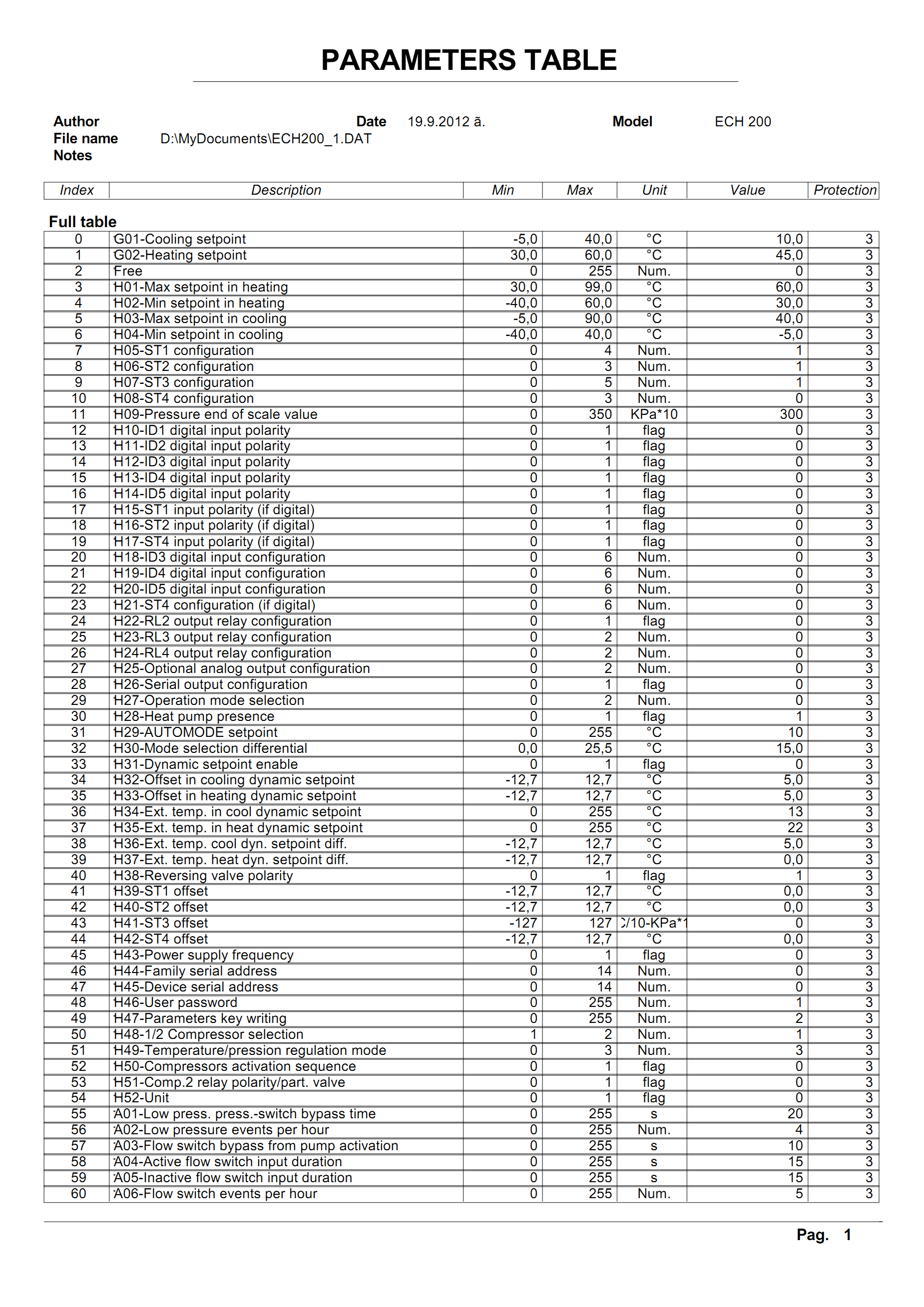
а трябва да е нещо такова
Прикачен файл:
ECH200_Par_ALL_158.png
ще съм изключително благодарен.
N_Marinov - напреднал
колеги напомощ.... хептем я закъсах..
никой ли незнае кои фирми ползват ELIWELL или нещо друго на INVENSYS и евентуално биха имали интерфейс за връзка контролер компютър
N_Marinov написа:
колеги напомощ.... хептем я закъсах..
никой ли незнае кои фирми ползват ELIWELL или нещо друго на INVENSYS и евентуално биха имали интерфейс за връзка контролер компютър
Здравейте "N_Marinov" успяли да подкараш контролера?
N_Marinov - напреднал
stojanb написа:
N_Marinov написа:
колеги напомощ.... хептем я закъсах..
никой ли незнае кои фирми ползват ELIWELL или нещо друго на INVENSYS и евентуално биха имали интерфейс за връзка контролер компютър
Здравейте "N_Marinov" успяли да подкараш контролера?
Здравей,
по същество НЕ.
Машината си я карам със електроника от климатик...
ginev - напреднал
да запитам , дали конролер CAREL IR32CE0001
може да се ползва , и подържа отопление +Т.
и някакви дани за програмиране

Тема "Контролер Invensis ECH211" | Включи се в дискусията:


Сподели форума:

Бъди информиран. Следвай "Направи сам" във Facebook:

Намери изпълнител и вдъхновения за дома. Следвай MaistorPlus във Facebook: