Здравейте,
Вдъхновен от темата на колегата по горум:
viewtopic.php?t=60866&sid=d00ecb5220765 ... 37d3cedc2f
Реших да си направя Рекуператор от самото начало и благодарение на горанта тема и ровене из нета насъбрах доста материали. Нещо полезно, което намерих:
https://www.builditsolar.com/Experiment ... DIYHRV.htm
Рекуператора ще е сходен като този на снимките от линка, но със следните изменения:
1. за топлообменника ще използвам алуминиеви листа
2. потока на затопления въздух, няма да го правя на 2 отделения (на снимката потока обръща движението на 180 градуса), тъй като вярвам това ще се отрази на шума
3. между самите слоеве на топлообменника планирам да сложа допълнително вълнообразно просечена алуминиева ламарина. Така би трабвало да се подобри топлообменна
Ето и малко сметки и детайли за плана ми:
1. Основни параметри на рекуператора:
Целта ми е да постигна дебит от 350 кубически метра на час (m³/h) през рекуператора.

Screenshot 2024-08-30 113936.png (7.25 KиБ) Видяна 4325 пъти
Допускайки средна скорост на въздуха от 1 m/s, изчислих:

Screenshot 2024-08-30 113942.png (12.95 KиБ) Видяна 4325 пъти
От първоначалните сметки установих, че около 11-13 слоя би трябвало да са достатъчни за постигане на необходимия дебит
3. Решение за използване на 16 слоя:
Въпреки че първоначалните сметки показаха, че 11-13 слоя са достатъчни, реших да използвам 16 слоя за всяка посока на въздушния поток. Това решение взех, за да осигуря допълнителен запас за преодоляване на съпротивлението на въздушния поток, което може да се увеличи поради използването на вълнообразна алуминиева мрежа с 3 мм отвори. С допълнителните слоеве съм уверен, че ще поддържам необходимия дебит дори при повишено съпротивление.
4. Изчисления на дебита:
Screenshot 2024-08-30 114423.png (6.58 KиБ) Видяна 4325 пъти
Тази скорост е приемлива и позволява постигане на желания дебит без прекомерно съпротивление на въздушния поток.
5. Разположение на мрежата:
Използването на вълнообразна мрежа ще увеличи топлообмена, като създаде по-добър контакт между въздушния поток и алуминиевите плоскости. Реших да използвам следния вариант за разположение на мрежата:
6. Филтриране на въздуха:
За да осигуря чист въздух в апартамента, ще инсталирам следните филтри:
7. Разположение на тръбите и вентилацията:
8. Ядро на рекуператора:
Ще използвам smart контролери, съвместими с Home Assistant, за управление на AC вентилаторите (2 броя - един за входящ и един за изходящ въздух) и регулиране на дебита. Планирам да инсталирам и сензори за температура и влажност във всеки вход и изход на рекуператора, за да мога да автоматизирам управлението на системата и да поддържам оптимален комфорт. Допълнително ще има датчици и по стаите и баните.
В общи линии не откривам топлата вода, но споделям, ако на някой му хрумне нещо, което изпускам или може да се направи по добре. С други думи коментарите са добре дошли
Вдъхновен от темата на колегата по горум:
viewtopic.php?t=60866&sid=d00ecb5220765 ... 37d3cedc2f
Реших да си направя Рекуператор от самото начало и благодарение на горанта тема и ровене из нета насъбрах доста материали. Нещо полезно, което намерих:
https://www.builditsolar.com/Experiment ... DIYHRV.htm
Рекуператора ще е сходен като този на снимките от линка, но със следните изменения:
1. за топлообменника ще използвам алуминиеви листа
2. потока на затопления въздух, няма да го правя на 2 отделения (на снимката потока обръща движението на 180 градуса), тъй като вярвам това ще се отрази на шума
3. между самите слоеве на топлообменника планирам да сложа допълнително вълнообразно просечена алуминиева ламарина. Така би трабвало да се подобри топлообменна
Ето и малко сметки и детайли за плана ми:
1. Основни параметри на рекуператора:
- Размер на алуминиевите листове: 50 см х 50 см х 0.6 мм
- Разстояние между слоевете: 8 мм
- Брой слоеве: Избрах да използвам 16 слоя за всяка посока на въздушния поток, което прави общо 32 слоя.
- Тип мрежа: Алуминиева вълнообразна мрежа с отвори 3 мм, която ще бъде поставена между всеки слой.
Целта ми е да постигна дебит от 350 кубически метра на час (m³/h) през рекуператора.
- Площ на един слой: 50 см х 50 см = 0.5 м х 0.5 м = 0.25 m².
- Необходим дебит: 350 m³/h.
Прикачен файл:
Screenshot 2024-08-30 113936.png (7.25 KиБ) Видяна 4325 пъти
Допускайки средна скорост на въздуха от 1 m/s, изчислих:
Прикачен файл:
Screenshot 2024-08-30 113942.png (12.95 KиБ) Видяна 4325 пъти
От първоначалните сметки установих, че около 11-13 слоя би трябвало да са достатъчни за постигане на необходимия дебит
3. Решение за използване на 16 слоя:
Въпреки че първоначалните сметки показаха, че 11-13 слоя са достатъчни, реших да използвам 16 слоя за всяка посока на въздушния поток. Това решение взех, за да осигуря допълнителен запас за преодоляване на съпротивлението на въздушния поток, което може да се увеличи поради използването на вълнообразна алуминиева мрежа с 3 мм отвори. С допълнителните слоеве съм уверен, че ще поддържам необходимия дебит дори при повишено съпротивление.
4. Изчисления на дебита:
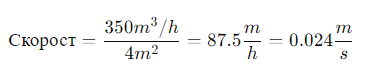
- Необходим дебит: 350 кубически метра на час (m³/h).
- Обща площ на потока през един слой: Площ на един слой = 0.25 m².
- Обща площ за 16 слоя: 16 слоя x 0.25 m² на слой = 4 m² обща площ.
- Средната скорост на въздушния поток ще бъде:
Прикачен файл:
Screenshot 2024-08-30 114423.png (6.58 KиБ) Видяна 4325 пъти
Тази скорост е приемлива и позволява постигане на желания дебит без прекомерно съпротивление на въздушния поток.
5. Разположение на мрежата:
Използването на вълнообразна мрежа ще увеличи топлообмена, като създаде по-добър контакт между въздушния поток и алуминиевите плоскости. Реших да използвам следния вариант за разположение на мрежата:
- Вълни перпендикулярно на въздушната струя: Този вариант ще осигури по-добър топлообмен поради увеличената турбуленция. Въпреки че ще има повече съпротивление, използването на 16 слоя и разстояние от 8 мм ще компенсира тези ефекти.
6. Филтриране на въздуха:
За да осигуря чист въздух в апартамента, ще инсталирам следните филтри:
- G4 филтри за грубо филтриране на прах и големи частици. Тези филтри ще бъдат поставени на входа на рекуператора.
- F7 или F8 филтри за фино филтриране на алергени и по-малки частици. Те ще бъдат поставени след G4 филтрите, преди въздухът да навлезе в ядрото на рекуператора.
7. Разположение на тръбите и вентилацията:
- Размер на тръбите: Ще използвам тръби с диаметър 150 мм, което е достатъчно за осигуряване на дебит от 350 m³/h и минимизиране на шума. 150 мм ще са трабите за входящия и изходящия въсдух. След рекуператора, при разклонението на тръгите, ще премина на тръби с големина 100 мм
- Тип на тръбите: Изолирани гъвкави тръби с акустична изолация.
- Разпределение: Ще използвам разпределителна кутия, за да осигуря въздух на всички стаи, включително спалните, хола, кухнята и баните.
8. Ядро на рекуператора:
- Размер: Ядрото ще бъде с размери 50 см х 50 см х (16 слоя x 8 мм + 17 листа х 0.6 мм) = 50 см х 50 см х 13.8 см.
- Материали: Алуминиеви листове и вълнообразна алуминиева мрежа.
- Дренаж: Ще осигуря дренажни отвори и в двата въздушни потока (входящ и изходящ) за предотвратяване на натрупването на конденз.
Ще използвам smart контролери, съвместими с Home Assistant, за управление на AC вентилаторите (2 броя - един за входящ и един за изходящ въздух) и регулиране на дебита. Планирам да инсталирам и сензори за температура и влажност във всеки вход и изход на рекуператора, за да мога да автоматизирам управлението на системата и да поддържам оптимален комфорт. Допълнително ще има датчици и по стаите и баните.
В общи линии не откривам топлата вода, но споделям, ако на някой му хрумне нещо, което изпускам или може да се направи по добре. С други думи коментарите са добре дошли